作者:chen人气:0来源:网吧系统下载站2014-12-26 10:38:05
Win8下同时连接两个宽带连接就会出现错误813提示,只需将前一个连接关闭就可以了,可是很多时候我们并不知道要如何关闭前一个连接,下面小编就给大家介绍下Win8宽带连接错误813的解决方法。
错误813现象如下图:

故障提示:
错误813:建立了前一个宽带连接的情况下,你在使用相同的设备或端口尝试建立另一个宽带连接。请断开前一个连接,然后重新建立连接。
故障原因:
其他宽带连接已连接上(“图1”);系统原因等。

图1
【解决方法】:
1)重新启动电脑(一般能解决)
2) 重建宽带连接
3) 重装操作系统
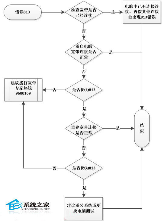
错误813的流程图:

上面就是Win8宽带连接错误813的解决方法了,重启电脑后就能强制关闭宽带连接,就不会出现同时连接两个宽带连接的问题了,你学会了吗?
继续阅读:Win8
2020-04-16绿茶电脑装机WIN8.1x64专业版ESD三合1精简优化版20200316
2017-09-08绿茶电脑装机WIN8.1 x64精简优化超快版集成驱动版GHO版20170906
2017-08-21绿茶电脑装机WIN8.1 x64精简优化超快版集成驱动版ESD版20170820
2017-08-09万能驱动助理(e驱动)正式版 v7.17.719.2 Win7/win8/win10版(32/64位)
2017-07-29Win8系统网络SSID怎么设置?
2017-07-21Windows8.1补丁包(Win8.1系统补丁)2017年7月(32位)
2017-07-21Windows8.1补丁包(win8.1升级补丁)更新至2017年7月(64位)
2017-06-22Windows8.1补丁包(win8.1升级补丁)更新至2017年6月(64位)
2017-05-24NVIDIA GeForce英伟达显卡驱动程序桌面版 v382.33 For win8.1/8/7版